Бюллетень для голосования
на заочном собрании ГСК "МОСКВИЧ-2"
28.02-13.03.2026
Материалы к собранию 2026
- Порядок проведения собрания
- Протокол Правления от 24.01.2026
- Повестка дня собрания
- ПРОТОКОЛ ПРАВЛЕНИЯ ОТ 09.08.25
- ПРОТОКОЛ ПРАВЛЕНИЯ ОТ 23.08.25
- ПРОТОКОЛ ПРАВЛЕНИЯ ОТ 16.12.25
- ПРАВИЛА ПОЛЬЗОВАНИЯ НЕЖИЛЫМИ ПОМЕЩЕНИЯМИ
- ПРАВИЛА ПОЖАРНОЙ БЕЗОПАСНОСТИ
- Отчет Председателя за 2025 год
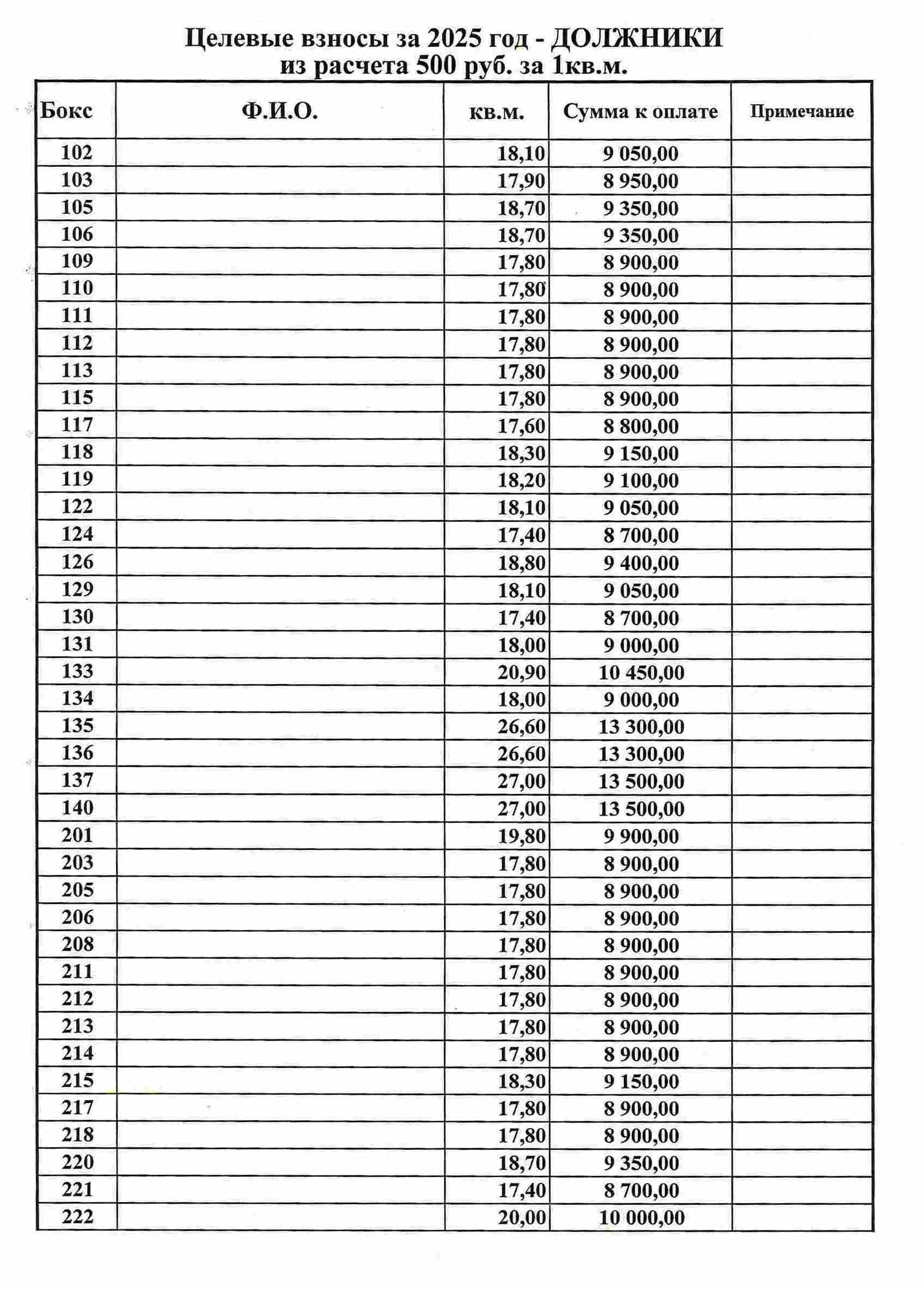
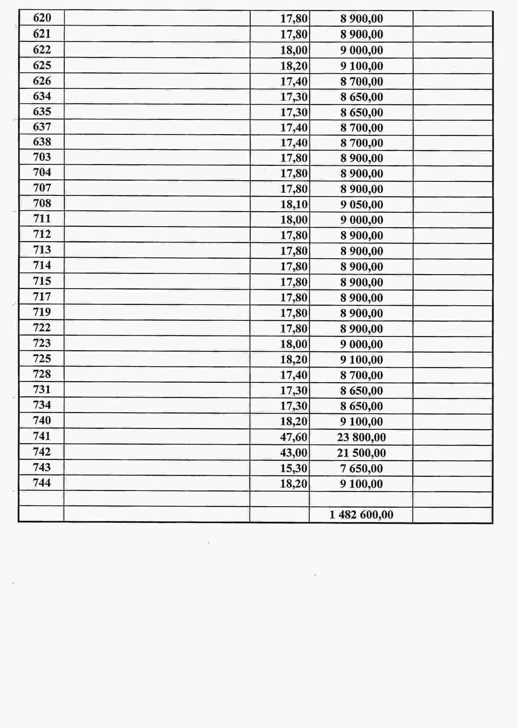
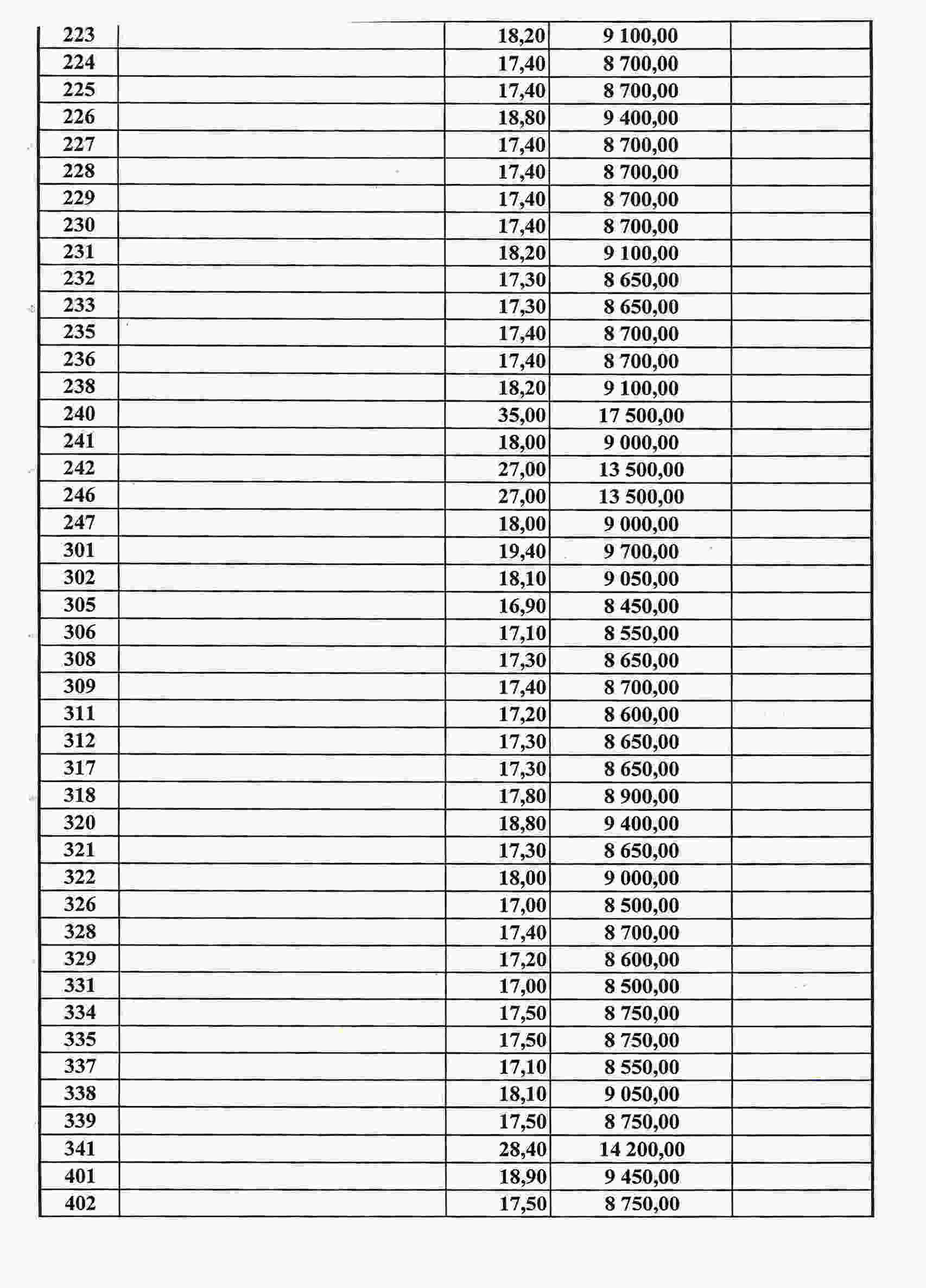
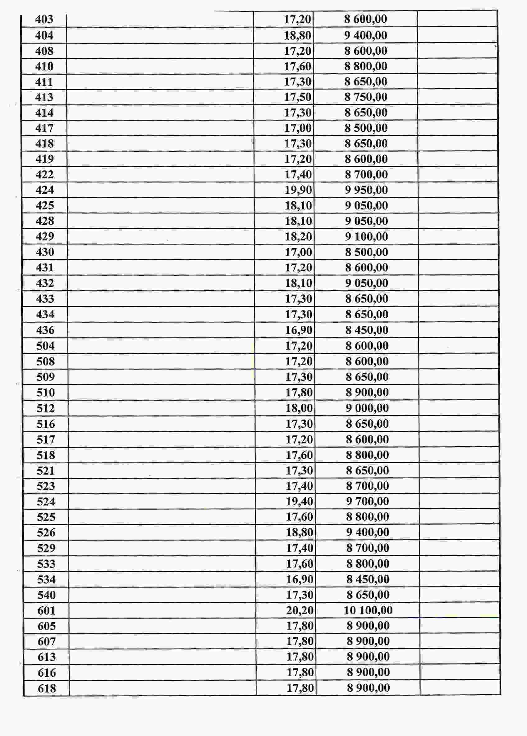
- Отчет об исполнения сметы за 2025 год [скачать]
- Документы по пункту 3 Повестки дня
- Документы по пункту 4 Повестки дня
- Документы по пункту 5 Повестки дня
- Документы по пункту 6 Повестки дня
- Документы по пункту 7 Повестки дня
- Документы по пункту 8 Повестки дня
- Документы по пункту 9 Повестки дня
- Документы по пункту 10 Повестки дня
- Образец доверенности на голосование [скачать]